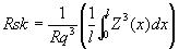
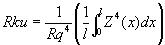
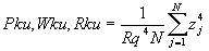
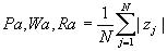
Height Parameter
The parameters are differentiated by their prefix where P is for the primary or the raw profile,
R is for the roughness profile, and W is for the waviness profile. The ISO 4287-1997
defines some parameters within a sampling length and others within an evaluation
length. ISO 4288 indicates that parameters defined over the sampling
length should be calculated based on only one sampling length if the user
wants to calculate parameter estimate. On the other hand, if the user wants
to calculate an average parameter estimate, the average parameter estimated
is calculated by taking an average of the parameter estimates from all available
sampling lengths.
- Pp, Rp, Wp: Maximum Profile Peak Height. ASME defines Pp, Rp,
and Wp as a distance between the highest point of the profile and the mean
line in the evaluation length L (see figure 1). ISO 4287-1997 defines Pp,
Rp, and Wp as a highest peak profile depth within a sampling length l.
- Pv, Rv, Wv: Maximum Profile Valley Depth. ASME defines Pv, Pv, and
Wv as a distance between the lowest point of the profile and the mean line
in an evaluation length (see figure 1). ISO 4287-1997 defines Pv, Rv,
and Wv as a lowest valley profile depth within a sampling length l.
- Pt, Rt, Wt: Total Height of Profile, which is a total of maximum
profile peak height with maximum profile valley depth.
Figure 1. Maximum Profile Peak, valley height, and Total
height of Profile are calculated according to the ASME B46 Standard. For the ISO
4287 standard, the evaluation length would be replaced by the sampling length.
In the formulas below, the sampling length l is used, but the evaluation length L may be used instead.
- Pz, Rz, Wz: Maximum height of profile within a sampling length (ISO
4287-1997) or average maximum height of the profile within the evaluation
length (ASME B46)
References:
ISO 4287, Geometrical Product Specifications (GPS) -- Surface texture:
Profile method -- Terms, definitions and surface texture parameters, 1997
ISO 4288, Geometrical Product Specifications (GPS) -- Surface texture:
Profile method -- Rules and procedures for the assessment of surface texture
Surface Texture (Surface Roughness, Waviness, and Lay), an American National
Standard, ASME B46.1-2002, New York, NY